EchoLand-plus
過去問をこなしているなら、深呼吸して考えれば「no problem」かと。
問5 下記仕様の鋼板がある。この鋼板を用いて、屋外に設置して凝縮温度50℃で運転されるR410A用高圧受液器を設置したい。この高圧受液器について、次の(1)~(3)の問に、解答用紙の所定欄に計算式を示して答えよ。
ただし、R410A冷凍装置の基準凝縮温度50℃における高圧部設計圧力は2.96Mpaを使用するものとする。
(20点)
(1) 設計可能な最大の円筒胴の外径Doは何mmか。
ただし、溶接効率は0.70とし、円筒胴の外径を整数値で求めよ。
(2) (1)で求めた円筒胴に取り付ける鏡板の形状は半球形とし、この鏡板には溶接継手はないものとする。これに板厚9mmの鋼材を使用できるか否かを、必要板厚を計算して判断せよ。
(3) この高圧受液器に使用する板厚9mmの半球形鏡板に内面に設計圧力2.96Mpaが作用した場合、半球面の接線方向に誘起される引張応力σt(N/mm^2)はいくらか。
ただし、引張応力の小数点以下1桁まで求めよ。
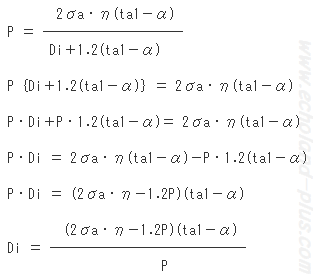
次式よりDiを求める。(『上級 冷凍受験テキスト:日本冷凍空調学会』<9次:P179左 (12.8)式><8次:P172左 (12.8)式>)
内径Diは、368mmとなる。よって、外径Do=368+2×9=386mm
答え Do = 386 mm
平成23年度(1)をほとんどコピペです。
半球系鏡板の必要板厚taは、
テキスト<9次:P179右 (12.11)式><8次:P173左 (12.11)式>
鏡板の半径Rは、(算数なので説明略)

数値代入します。

答え 必要板厚は4mmであるから、板厚9mmの板材を用いてもよい。
3.8mmでもよいと思います。健闘を祈る。 平成23年度(1)をほとんどコピペです。
半球面の接線方向に誘起される応力σtは、
(テキスト<9次:P180左 (12.12)式><8次:P173右 (12.14)式>)
ここに、
数値代入します。

(小数点以下2桁目を四捨五入)
答え σt = 30.3 (N/mm^2)
【2016/03/22 新設】