EchoLand-plus
問5 下記仕様で、制作された円筒胴圧力容器を、R 410A 用の高圧受液器として使用したい。これについて、次の(1)の間に、解答用紙の所定欄に計算式と理由を示して答えよ。また、(2)の間に、解答用紙の所定欄に計算式を示して答えよ。
(20点)
(円筒胴圧力容器の仕様)
使用鋼板 SM400B
円筒胴の外径 Do = 620 mm
円筒胴板の厚さ ta1 = 14 mm
鏡板に使用する鋼板の厚さ ta2 = 8 mm
円筒胴板と鏡板の腐れしろ α = 1 mm
円筒胴板の溶接継手の効率 η = 0.7
ただし、R 410A の各基準凝縮温度における設計圧力は、次表の圧力を使用するものとする。
(1) この受液器が使用できる最高の凝縮温度 (℃) を求めよ。また、その凝縮温度を選択した理由を記せ。
(2) この受液器を凝縮温度50℃で用いる場合に、円筒胴に取り付ける鏡板として厚さ 8 mm の鋼板を用いることができるか否かを、鏡板の必要厚さ ta (mm) を計算して判断せよ。鏡板の形状は半球形とし、円筒胴と鏡板は、外径を同一の寸法とする。また、この鏡板には溶接継手はないものとする。
与えられた条件と勉強して覚えた公式。


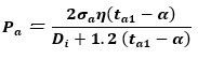
ここに、限界圧力を Pa 、円筒胴内径を Di 、鋼板の許容引張応力を σa 、ta = ta1 とする。

許容引張応力 σa は、使用鋼板が SM400B なので、
σa = 100 N/mm2 である。
内径 Di は、
Di = Do - 2ta1
= 620 - 2 × 14 = 592 mm
👉 本番では、σa と、Di を、簡潔にまとめて記述してください。
Pa = {2σaη(ta - α)} / {Di + 1.2(ta - α)}
= {2 × 100 × 0.7 × (14 - 1)} / {592 + 1.2 × (14 - 1)}
= 1820 / 607.6 = 2.9953917
≒ 2.99 (小数点以下3桁を切り下げすること)
答え 限界圧力 Pa が 2.99 Mpa なので、表より設計圧力 2.96 Mpa まで使用可能である。ゆえに、このときの使用できる最高の凝縮温度は 50℃ である。
半球型鏡板の必要厚さ ta は、次式で求められる。

ここで、
鏡板の内面半径 R は、
R = Do - 2ta2 / 2 = (620 - 2 × 8) / 2 = 302 mm
ta = {(PRW) / (2σaη - 0.2P)} + α
= {(2.96 × 302 × 1) / (2 × 100 × 1 - 0.2 × 2.96)} + 1
= 893.92 / 199.408 + 1 = 5.4828692
≒ 5.5 (小数点以下2桁以降を切り上げすること)
答え 必要厚さが 5.5 mm であるので、鏡板に使用する 8 mm の鋼板は使用可能である。
👉 ポイント
鏡板の計算ができるかどうかがポイントでした。満遍なく過去問をこなすしかないでしょう。健闘を祈る。
【2024(R05)/02/26 新設】