EchoLand-plus
公式を一通り暗記してあれば大丈夫と思いましたが、腐れしろ α でつまづくかもしれません。
5. 下記仕様圧力容器の薄肉円筒胴に関する次の(1)~(3)についてそれぞれ解答用紙に答えよ。(1)および(3)については、計算式を示して答えよ。(20点)
(仕様)
使用鋼板 SM400B(JIS G 3106)
設計圧力 P = 2.49 Mpa
円筒胴内径 Di = 470 mm
溶接継手の効率 η = 0.7
選択できる板材の厚さ 7 mm、 8 mm、9 mm、10 mm、11 mm
(1) この圧力容器を、耐食処理を施したうえで屋内の機械室に設置する場合、薄肉円筒銅板材の必要な最小の厚さ ta (mm) はいくらか。小数点以下 1 桁までの数値で答えよ。
(2) 選択すべき薄肉円筒胴使用板材の最小の厚さを決定せよ。
(3) 決定した板厚の薄肉円筒胴圧力容器に設計圧力が作用した場合、薄肉円筒胴に発生する最大引張応力 σ (N/mm2) はいくらか。有効数字 3 桁で答えよ。
与えられた条件と勉強して覚えた公式で上手に導き出しましょう。


👉 ポイント
今年度の設問では「許容引張応力 σa」と「腐れしろ α」が指定されていません。
最小必要厚さ taを求める式は下記で求められます。しかし、「許容引張応力 σa」と「腐れしろ α」が設問で指定されていません。

ここで、使用鋼材 SM400B の許容引張応力 σaは、反射的に σa=100 N/mm2 と浮かぶようにしましょう。(過去問をこなせば浮かびます。)
さて、腐れしろ α ですが、『上級 冷凍受験テキスト』<9次:P178左 表12.7>に「直接風雨にさらされない部分で、耐食処理を施したもの 腐れしろ 0.5 mm」と、記されています。これを知っていれば、合格❗❓(ちょっと、嫌らしい問題ですね。😭)
では、数値代入して。

注)小数点以下第2桁を切り上げすること。(9.0 mm にすると、0点❗)
答え 9.1 (mm)
(1)で求めた厚さよりも厚い材料を選択すること。(9 mmは、ダメだよ。これ間違うと(3)は撃沈。)過去問してなくても常識的にわかると思います。
答え (薄肉円筒胴使用板材の必要最小の厚さは 9.1 mm であるから、これよりも厚い) 10 mm の板材を選択する。
補足)設問から()内の選択理由は記述せずに、赤下線部分だけで良いでしょう。
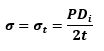
(2)で選択した板材の厚さを t = 10 mm として計算します。
ここで、設問の最大引張応力 σ は、接戦方向の引張応力 σt です。
よって、

では、数値代入して。

注)有効数字 3 桁の指定がされています。(58.515 、58.52 などのぽんミスや勘違いをしませんように。🙏)
答え 58.5 N/mm2
この年度は、「許容引張応力」「腐れしろ」が指定されていませんでした。さらに桁数指定があったりで、つまづきやうっかり誘発の💩問題かもしれません。
【2024(R06)/01/20 新設】